Microplásticos en aguas superficiales y sedimentos de manglar en tres islas del Archipiélago de Jambelí, Ecuador

 

Microplastics in surface waters and mangrove sediments on three islands in the Jambelí Archipelago, Ecuador.

 

Brigitte Quizhpe-Asencio1; Alex Luna-Florin1 *; Juan Paredes-Moran1

 

1  Carrera de Ingeniería Ambiental, Facultad de Ingeniería Civil, Universidad Técnica de Machala. Av. Panamericana km 5½ Vía a Pasaje, Machala, Ecuador.

 

* Autor corresponsal: adluna@utmachala.edu.ec (A. Luna-Florin).

 

ORCID de los autores:

B. Quizhpe-Asencio: https://orcid.org/0000-0001-6520-5144               A. Luna-Florin: https://orcid.org/0000-0003-4975-405X

J. Paredes-Moran: https://orcid.org/0009-0007-7074-360X

 

 

RESUMEN

 

La contaminación por microplásticos se ha convertido en una de las amenazas ambientales más graves para los ecosistemas acuáticos, afectando tanto la biodiversidad como los servicios ecosistémicos esenciales, dada su persistencia, y efectos acumulativos, es crucial valorar la presencia de microplásticos en cuerpos de agua, especialmente en ecosistemas sensibles como los manglares. El estudio se centró en la presencia de microplásticos en las aguas superficiales y sedimentos de manglar en tres islas del archipiélago de Jambelí, Ecuador. Se lograron identificar y analizar diferentes tipos de microplásticos, siendo las fibras las más comunes, especialmente en las islas Bellavista y Costa Rica. Los resultados revelaron concentraciones mayores en las áreas cercanas a las actividades humanas como la pesca y el turismo, y resaltaron la importancia de los manglares como sumideros naturales de estos contaminantes. Se observó una diversidad cromática, especialmente en los sedimentos, sugiriendo un proceso de degradación de los plásticos, con predominancia de colores como azul, rojo y negro. Los resultados resaltan la necesidad de monitorear la contaminación por microplásticos en estos ecosistemas para evaluar su impacto en la biodiversidad y en los servicios ecosistémicos esenciales para las comunidades locales. La investigación proporciona datos clave para el desarrollo de estrategias de conservación y manejo sostenible de los manglares.

 

Palabras clave: Fibras; distribución; fragmentos; contaminación.

 

 

ABSTRACT

 

Microplastic pollution has become one of the most serious environmental threats to aquatic ecosystems, affecting both biodiversity and essential ecosystem services. Given its persistence and cumulative effects, it is crucial to assess the presence of microplastics in water bodies, especially in sensitive ecosystems such as mangroves. The study focused on the presence of microplastics in surface waters and mangrove sediments on three islands in the Jambelí archipelago, Ecuador. Different types of microplastics were identified and analyzed, with fibers being the most common, especially on the islands of Bellavista and Costa Rica. The results revealed higher concentrations in areas close to human activities such as fishing and tourism, and highlighted the importance of mangroves as natural sinks for these pollutants. A diversity of colors was observed, especially in sediments, suggesting a process of plastic degradation, with a predominance of colors such as blue, red, and black. The results highlight the need to monitor microplastic pollution in these ecosystems to assess its impact on biodiversity and ecosystem services essential to local communities. The research provides key data for the development of conservation and sustainable management strategies for mangroves.

 

Keywords: Fibers; distribution; fragments; contamination.

 

 

Recibido: 21-07-2025.

Aceptado: DD-MM-2024


  
Esta obra está publicada bajo la licencia CC BY 4.0

INTRODUCCIÓN

 


La contaminación plástica ha surgido como uno de los problemas ambientales más cruciales que afecta los ecosistemas terrestres y acuáticos (Fernandes et al., 2022; Priya et al., 2023). Los océanos y las áreas costeras son particularmente propensas a la acumulación de residuos plásticos, fragmentados por partículas más pequeñas, llamadas microplásticos (partículas menores de 5 mm), altamente persistentes y difíciles de eliminar (Mohamed et al., 2023; TUNÇ DEDE & TEPE, 2025). Se estima que anualmente muchos ríos desplazan billones de fragmentos de polímeros sintéticos, con más de 250.000 millones de toneladas, alcanzando más del 80% de la contaminación en los mares (Kye et al., 2023).

América Latina, y en particular Ecuador, no es ajeno a esta problemática, la contaminación por microplásticos afecta múltiples regiones costeras, con impactos negativos en la biodiversidad y las actividades económicas típicas que brinda este ecosistema (Vélez et al., 2024). El archipiélago de Jambelí, ubicado en la provincia de El Oro, destaca por su gran diversidad biológica y constituye un soporte vital para las comunidades locales que dependen en gran medida de los recursos marinos y actividades turísticas, pero enfrenta crecientes presiones por la acumulación de residuos plásticos.

A pesar de la creciente preocupación internacional y nacional, existen vacíos significativos en el conocimiento sobre la magnitud y distribución de los microplásticos en los ecosistemas de manglar del archipiélago de Jambelí. Hasta la fecha, la mayoría de los estudios en Ecuador se han centrado en otras provincias como Manabí y Santa Elena, dejando a El Oro y sus islas con escasa información científica disponible (Pardo, 2024). Además, los protocolos de muestreo y análisis de microplásticos en ambientes estuarinos y de manglar aún presentan desafíos metodológicos, lo que dificulta la comparación y el monitoreo a largo plazo. Esta falta de datos locales limita la capacidad de evaluar los impactos ecológicos y socioeconómicos de la contaminación por microplásticos en un entorno clave para miles de familias que depen-den de los recursos marinos (Villamar, 2022).  

Ante este contexto, el presente estudio tiene como objetivo general evaluar la presencia, concentración y características morfológicas de microplásticos en aguas superficiales y sedimentos de manglar en tres islas del archipiélago de Jambelí (Isla Payana, Isla Costa Rica y Bellavista).

Los resultados de esta investigación proporcionarán información crucial para comprender la magnitud del problema de la contaminación por microplásticos en este importante ecosistema costero y servirán de base para el desarrollo de estrategias de conservación dirigidas a promover la gestión sostenible de los manglares y proteger la biodiversidad y los servicios ecosistémicos que estos ecosistemas brindan a la región.


 

METODOLOGÍA

 


Área de estudio

En la zona costera de la provincia de El Oro, en el sector meridional del Golfo de Guayaquil en Ecuador, se encuentra el archipiélago de Jambelí (Reynaud et al., 2018). Se localiza entre las coordenadas 3°21′56,02″ S y 80°6′38,88″ W. Esta unidad geográfica abarca aproximadamente 300 km² y está compuesta por un conjunto de islas e islotes de alto valor ecológico (Zhiminaicela-Cabrera et al., 2020). En su territorio confluyen ecosistemas clave como manglares del sistema Jama-Zapotillo, cuerpos de agua intermareales y zonas transformadas para actividades humanas. Los suelos predominan con texturas arcillo-limosas y franco arcillo-limosas, que los hacen aptos para usos agrícolas, acuícolas, camaroneros y turísticos (Morante et al., 2012; Sagot Valverde, 2022; Zhiminaicela-Cabrera et al., 2020).

Las condiciones climáticas de la región se encuentran influenciada por un régimen tropical megatérmico seco a semiárido, con precipitaciones anuales que oscilan entre los 200 y 700 mm. La temperatura media anual varía entre los 25 y 26 °C, favoreciendo la permanencia de los ecosistemas de manglar y la actividad productiva de la zona (Chalán et al., 2015).

 

Puntos de muestreo

Se establecieron cinco puntos de muestreo en tres islas del archipiélago de Jambelí (Isla Payana, Isla Costa Rica e Isla Bellavista), para cada matriz ambiental (agua superficial y sedimentos de manglar) como se muestra en la Tabla 1 (Figura 1). Las muestras fueron recolectadas en el periodo correspondiente a la temporada lluviosa, específi-camente entre el 24 de abril al 24 de mayo de 2025. La selección de los puntos respondió a criterios ecológicos y operativos, considerando principal-mente la proximidad a zonas de influencia mareal, la presencia visible de estructuras radiculares como rizóforos y neumatóforos, así como la accesibilidad para garantizar una eventual réplica del protocolo en futuros monitoreos (Hernández-Morales et al., 2025).

 

Recolección de muestras de agua

La recolección de muestras se realizó desde una embarcación, utilizando una red de plancton con una abertura de 29,5 cm y una luz de malla de 200 μm, la cual fue sumergida a una profundidad de aproximadamente 20 cm. El arrastre se efectuó a una velocidad constante de 2 nudos durante un periodo de 5 minutos, permitiendo filtrar un volumen estimado de 500 ml por muestra. Las estaciones se ubicaron siguiendo transectos paralelos al borde del manglar con una separación de 200 metros entre cada una, esta distribución permitió cubrir de forma representativa la zona costera de cada isla (Zambrano Witong et al., 2024). Posteriormente, el contenido del vaso colector fue lavado con agua microfiltrada y transferido de frascos de vidrio esterilizados.


 

Figura 1. Mapa de ubicación de puntos de recolección de muestras

 


 

Tabla 1

Coordenadas de las áreas de muestreo

 

Islas

Matriz

Punto de muestreo

Coordenadas

UTM X

UTM Y

Isla Bellavista

Agua

Punto 1

583976,00

9625724,75

Punto 2

584195,84

9625565,40

Punto 3

584380,10

9625376,22

Punto 4

584714,24

9625063,12

Punto 5

585351,60

9624674,61

Sedimento

Punto 1

583972,62

9625731,39

Punto 2

584190,30

9625579,77

Punto 3

584380,12

9625401,65

Punto 4

584702,04

9625084,14

Punto 5

585362,75

9624728,77

Isla Costa Rica

Agua

Punto 1

581691,69

9629780,12

Punto 2

581680,17

9629236,26

Punto 3

581784,44

9629030,57

Punto 4

581915,39

9628840,34

Punto 5

582071,87

9628626,87

Sedimento

Punto 1

581692,40

9629252,83

Punto 2

581786,67

9629043,83

Punto 3

581918,73

9628854,71

Punto 4

582082,99

9628640,13

Punto 5

582258,40

9628480,81

Isla Payana

Agua

Punto 1

580836,65

9631816,96

Punto 2

580830,70

9631281,93

Punto 3

580809,17

9630717,08

Punto 4

580617,99

9630590,09

Punto 5

580317,97

9630496,35

Sedimento

Punto 1

579616,16

9629413,55

Punto 2

579781,12

9628635,21

Punto 3

579878,66

9628326,72

Punto 4

580067,47

9628261,37

Punto 5

580781,44

9627782,19


Para evitar la descomposición de la materia orgánica, se añadió a cada frasco 100 ml de hipoclorito de sodio al 10%, siguiendo las recomendaciones del protocolo de (INVEMAR, 2018). Las muestras fueron etiquetadas con códigos únicos y almacenadas a una temperatura de 4 °C hasta su análisis en el laboratorio.

 

Recolección de muestras de sedimentos

El muestreo de sedimentos se realizó conforme al protocolo de (INVEMAR, 2018) adaptado a zonas intermareales. En cada estación de muestreo se delimitaron cinco cuadrantes de 1x1 metro, ubicados aleatoriamente alrededor de neumatóforos y plan-tulas de mangle. Con una pala de acero inoxidable se recolectaron aproximadamente 500 gramos de sedimento superficial (primeros 5 cm de profun-didad) por estación, los cuales fueron colocados en recipientes herméticos previamente esterilizados y rotulados con el punto de muestreo y la fecha de recolección. Las muestras fueron almacenadas en hieleras y trasladadas al laboratorio para su procesamiento.

 

Procesamiento de muestras de agua

En el laboratorio, se utilizó 20 ml de hipoclorito al 10% en cada muestra, con un tiempo de exposición de 48 horas, con el fin de eliminar la materia orgánica presente (INVEMAR, 2018). Posteriormente, se realizó un secado en la estufa Bektron 101 – 1AB a una temperatura constante de 60 °C durante 48 horas, asegurando la completa evaporación del contenido líquido (Hidalgo-Ruz et al., 2012). Una vez secas, las muestras fueron colocadas en cajas Petri y observadas con la ayuda del estéreo microscopio Q170-T Trinocular de alta precisión (Better Scientific). Se identificaron visualmente los microplásticos, las cuales fueron clasificadas morfológicamente en fragmentos, fibras, pellets, películas o espuma, de acuerdo con los criterios establecidos por (Kovač Viršek et al., 2016).

Para calcular la concentración de microplásticos en agua, se empleó la siguiente fórmula:

Concentración = N/V

Donde N: número total de microplásticos obser-vados, V: volumen de agua filtrada (en litros).

 

Procesamiento de muestras de sedimentos

El tratamiento de las muestras de sedimentos se realizó conforme a la metodología para sedimentos de manglar establecida por (INVEMAR, 2018). En primer lugar, las muestras fueron colocadas en bandejas de aluminio y secadas en la estufa Bektron 101 – 1AB a 60 °C durante 72 horas, seguido por el pesaje de la muestra seca con una balanza analítica Bektron FA2204N para la posterior normalización de resultados. Posteriormente, las muestras fueron tratadas con hexametafosfato de sodio (2,5 g/L), que facilitó la separación de los microplásticos por diferencias de densidad. Las muestras en suspensión fueron sometidas a un proceso de tamizado utilizando mallas de 2 mm, 1 mm y 500 μm, recolectando las fracciones correspondientes en recipientes independientes.

La concentración de microplásticos en sedimentos se calculó según la siguiente fórmula:

Concentración = N/A

Donde N: número total de partículas observadas, A: área total muestreada (m2).

 

Identificación de microplásticos en muestras

Para la identificación de los microplásticos se realizó previamente la familiarización con cada uno de los tipos de microplásticos definidos en la metodología de (Kovač Viršek et al., 2016) como se muestra en la Tabla 2.

 

Tabla 2

Tipos de microplásticos

 

Morfotipo

Descripción

Fragmento

Se representa en muchos tipos de plásticos y pueden volverse quebradizos con el tiempo.

Fibras

Son hilos alargados procedentes de textiles y cuerdas y se presentan en varios colores.

Pellets

Son usados en la fabricación de plástico, tienen un aspecto redondo y pueden tener diferentes colores, pero los más comunes son negros y blancos.

Film

Son trozos de bolsas y envoltorios plásticos, son flexibles y pueden volverse quebradizos con el tiempo.

Espuma

Son trozos de poliestireno y generalmente tienen una textura suave.

Gránulos

Partículas habitualmente esféricas o irregulares, usadas como base para fabricar productos o derivados del reciclaje.


 

RESULTADOS Y DISCUSIÓN

 


Se recolectaron un total de 15 muestras de agua y 15 muestras de sedimentos de las islas Bellavista, Costa Rica y Payana, en las cuales se encontraron 162 partículas microplásticas en agua y 208 en sedimentos. Posteriormente, se clasificaron y caracterizaron físicamente de acuerdo con la clasificación de (Kovač Viršek et al., 2016). Los análisis realizados en las muestras de agua revelaron patrones diferenciados de contaminación por microplásticos en las tres zonas de estudio, tal como se proyecta en la Tabla 3. En la isla Bellavista se observó una predominancia absoluta de fibras microplásticas, con valores que oscilaron entre 8 y 28 unidades por muestra, siendo el punto 5 el que presentó la mayor concentración, mientras que en la isla Costa Rica se mantuvo el patrón de predominio de fibras, aunque con concentraciones notablemente menores, entre 1 y 15 unidades. Se detectó una presencia esporádica de fragmentos entre 1 y 5 unidades, particularmente en los puntos 2 y 3. Por otro lado, la isla Payana presentó el perfil más diversificado, con presencia significativa de fragmentos entre 2 y 4 unidades por muestra, gránulos hasta 3 unidades y films entre 1 y 4 unidades, además de las fibras.


Tabla 3

Tipo de microplásticos presentes en agua

 

Isla

Punto de muestreo

Fragmentos (und)

Pelets (und)

Gránulos (und)

Fibras (und)

Films (und)

Espumas (und)

Bellavista

Punto 1

7

0

0

13

0

0

Punto 2

0

0

0

22

0

0

Punto 3

0

0

0

15

0

0

Punto 4

0

0

0

8

0

0

Punto 5

0

0

0

28

0

0

Costa Rica

Punto 1

1

0

0

3

0

0

Punto 2

5

0

0

5

0

0

Punto 3

5

0

0

15

0

0

Punto 4

0

0

0

3

0

0

Punto 5

1

0

0

1

0

0

Payana

Punto 1

4

0

0

0

0

0

Punto 2

3

0

0

1

0

0

Punto 3

2

0

0

2

0

0

Punto 4

2

0

0

2

4

0

Punto 5

4

0

3

2

1

0


Estos resultados coinciden con estudios previos realizados por Helmberger et al. (2025) y Wu et al. (2025) que también documentaron una alta preva-lencia de fibras, particularmente aquellas prove-nientes de textiles sintéticos. De acuerdo con el estudio de (Paduani et al., 2025), la flotabilidad de las fibras favorece su dispersión en la columna de agua, lo que puede explicar su presencia en todos los puntos de muestreo, similar a lo que se observa en las islas de Jambelí. Por otro lado, la presencia de fragmentos y films en la isla Payana es consistente con lo observado en otros estudios en áreas con mayor influencia humana, como zonas turísticas o comerciales (Ricciardi et al., 2021). 

La Tabla 4 presenta el análisis de los sedimentos de manglar que mostró una notable acumulación de microplásticos, con patrones que en general reflejan lo observado en el agua, pero con algunas diferencias significativas. En Bellavista, las fibras continuaron siendo el tipo dominante entre 6 y 14 unidades, aunque se registró una ligera presencia de fragmentos de 3 unidades en el punto 5 y un film aislado en el punto 1. En Costa Rica presentó los valores más altos de fibras entre 13 y 24 unidades, destacándose los puntos 2, 3 y 5 con concentraciones particularmente elevadas. Por otro lado, la isla Payana nuevamente mostró el perfil más diverso, con presencia constante de fragmentos entre 2 y 8 unidades y films entre 2 y 4 unidades en casi todos los puntos de muestreo. Es notable que en los sedimentos se registraron valores más altos de fragmentos que en el agua, particularmente en el punto 4 (8 unidades), lo que sugiere un proceso de sedimentación preferencial para este tipo de microplásticos. La presencia de un gránulo en el punto 5 completa el panorama de diversidad en esta isla. Estos resultados son consistentes con estudios previos en manglares y ecosistemas costeros, donde las fibras han sido reportadas como los microplásticos más comunes tanto en el agua como en los sedimentos (Menezes et al., 2025). Estudios en zonas similares de Filipinas (Andoy et al., 2025), han encontrado que las fibras derivadas de textiles, cuerdas y redes de pesca son los contaminantes más abundantes. En la isla Bellavista, la presencia exclusiva de fibras y la escasa presencia de otros tipos de microplásticos, como films o fragmentos, puede indicar una fuente de conta-minación más específica, asociada probablemente a la pesca, como se observa en otros estudios sobre manglares tropicales (Pradit et al., 2022). Esta concentración de fibras en los sedimentos sugiere que los manglares están actuando como sumideros de estos microplásticos, que se depositan en el fondo debido a su mayor densidad y tamaño, y permanecen allí por largos períodos (Hernández-Morales et al., 2025; Mohamed et al., 2023b; Paduani et al., 2025). 


 

Tabla 4

Tipo de microplásticos presentes en sedimentos

 

Isla

Punto de muestreo

Fragmentos (und)

Pelets (und)

Gránulos (und)

Fibras (und)

Films (und)

Espumas (und)

Bellavista

Punto 1

0

0

0

14

1

0

Punto 2

0

0

0

13

0

0

Punto 3

0

0

0

14

0

0

Punto 4

0

0

0

6

0

0

Punto 5

3

0

0

8

0

0

Costa Rica

Punto 1

0

0

0

13

0

0

Punto 2

1

0

0

22

0

0

Punto 3

0

0

0

24

0

0

Punto 4

2

0

0

17

0

0

Punto 5

0

0

0

20

0

0

Payana

Punto 1

4

0

0

4

4

0

Punto 2

3

0

0

1

4

0

Punto 3

2

0

0

4

3

0

Punto 4

8

0

0

2

2

0

Punto 5

3

0

1

2

3

0


Concentración general de microplásticos por isla y matriz

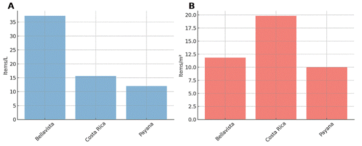
La concentración de microplásticos varió entre islas y matrices. La mayor concentración en muestras de agua (Figura 2 A) se registró en Bellavista (37,2 ítems/L), seguida de Costa Rica (15,6 ítems/L) y Payana (12,0 ítems/L). Lo que indica que las zonas cercanas a áreas urbanas como Puerto Hualtaco, especialmente en Bellavista, están recibiendo una mayor carga de microplásticos, donde la actividad pesquera y el vertido de desechos plásticos son más frecuentes. En este contexto, Monnanni et al. (2024) argumentan que las áreas cercanas a puertos y zonas urbanas tienen mayores concentraciones de microplásticos debido a la alta actividad humana, como en el caso de Puerto Hualtaco y sus alrededores.

Por otra parte, la concentración de microplásticos en sedimentos (Figura 2 B), Costa Rica presentó los valores más altos (19,8 ítems/m²), seguida de Bellavista (11,8 ítems/m²). A pesar de que la concentración en agua es menor que en Bellavista, los sedimentos de Costa Rica presentan valores altos de microplásticos, lo que puede estar relacionado con las condiciones de sedimentación propias de esta isla, en las que las partículas pueden ser retenidas más fácilmente por las raíces del manglar durante la marea alta (He et al., 2025). Finalmente, la isla Payana presentó las concentraciones más bajas de microplásticos en sedimentos (10,0 ítems/m²) al igual que en agua, lo que podría indicar que esta isla, a pesar de ser parte del archipiélago de Jambelí, experimenta menos presión antrópica en comparación con Bellavista y Costa Rica.

 

Frecuencia de microplásticos por matriz

La frecuencia en muestras de agua (Figura 3 A) las fibras fueron el morfotipo dominante con una alta frecuencia de 75, seguido de los fragmentos con una frecuencia de 55, films con una frecuencia de 5 y gránulos con una frecuencia de 3. De manera similar, (Z. Wang et al., 2025) reportó una alta concentración de fibras en muestras acuáticas.  Por otro parte, en la (Figura 3 B) se evidenció una frecuencia de 130 de fibras en sedimentos. La ausencia de pelets y espumas en todas las muestras podría deberse a su baja representatividad local o a procesos de degradación. Estos hallazgos coinciden con estudios previos (Guo et al., 2025; Roshni et al., 2025), que señalan que los sedimentos marinos acumulan microplásticos de mayor densidad, como fragmentos, mientras que las fibras flotantes son menos prevalentes. Esto resalta la importancia de considerar tanto el agua como los sedimentos en el estudio de la contaminación por microplásticos.


 

Figura 2. Concentración de microplásticos en muestras de agua (A). Concentración de microplásticos en muestras de sedimentos (B).

 

 

Figura 3. Frecuencia de microplásticos en muestras de agua (A) y frecuencia de microplásticos en muestras de sedimento (B).


Distribución porcentual de microplásticos por isla y por matriz

La Figura 4 A muestra la distribución porcentual de microplásticos por isla donde la isla Bellavista predominó con un porcentaje de 57,4%, seguido de la isla Costa Rica con un porcentaje de 24,1% y finalmente, la isla Payana con un porcentaje de 18,5%. La Figura 4 B, que muestra la distribución porcentual de microplásticos por forma en sedimentos, revela que las fibras dominan los sedimentos, con un 71,4%, lo que sugiere que los sedimentos de manglar actúan como sumideros naturales para microplásticos de origen pesquero y textil, seguido de fragmentos con una distribución porcentual de 19,8%. La menor distribución de fragmentos en los sedimentos, comparada con las muestras de agua, sugiere que los fragmentos más grandes se sedimentan más rápidamente, mientras que las fibras continúan flotando o se acumulan más lentamente (De Lena et al., 2025). Este fenómeno coincide con los hallazgos de Wu et al. (2025) y Praveena et al. (2025) que señalan que los sedimentos actúan como reservorios para microplásticos de mayor tamaño y densidad, mientras que las fibras, por su flotabilidad, se encuentran con mayor frecuencia en la columna de agua. 

Finalmente, la Figura 4 C, que ilustra la distribución porcentual de microplásticos por forma en agua, confirma que las fibras siguen siendo el tipo predominante en las tres islas, con concentraciones de 54,3%, indicando que los microplásticos de fibra se dispersan fácilmente en la columna de agua debido a su alta flotabilidad (Morici et al., 2025), seguido de los fragmentos con una distribución de 39,9%. Además, se registran films con un 3,6% y gránulos con un 2,2%, lo que sugiere que, aunque las fibras son predo-minantes, otros tipos de microplásticos están presentes en menor cantidad.

 

Colorimetría en microplásticos presentes en agua

La colorimetría en microplásticos en aguas superficiales presentada en la Tabla 5 muestra un claro predominio del color azul en fibras (70-100%), especialmente en Bellavista y Costa Rica, lo que sugiere una fuente común relacionada con redes de pesca o lavado de textiles. La muestra 5 en la isla Payana presentó la mayor diversidad cromática (4 colores: azul, negro, blanco y amarillo) asociada a fragmentos, films y gránulos, indicando múltiples fuentes de contaminación. La predominancia del azul en fibras coincide con el estudio de Li et al. (2025) que identifican este tipo de microplástico como principal contaminante en aguas superficiales.



 

 

Figura 4. Distribución porcentual de microplásticos por isla (A). Distribución porcentual de microplásticos por morfotipo de sedimentos (B) y Distribución porcentual de microplásticos por morfotipo de agua (C).

 

Tabla 5

Colorimetría de microplásticos presentes en agua

 

Isla

Muestra

Tipo MP (cantidad)

Colores predominantes (% por tipo)

Variedad cromática (N° colores)

Bella-vista

M1

Fibras (13), Fragmentos (7)

Azul (85%), Amarillo (10%), Lila (5%)

3

M2

Fibras (22)

Azul (90%), Negro (10%)

2

M3

Fibras (15)

Azul (80%), Lila (20%)

2

M4

Fibras (8)

Azul (75%), Rojo (25%)

2

M5

Fibras (28)

Azul (80%), Rojo (15%), Negro (5%)

3

Costa Rica

M1

Fibras (3), Fragmentos (1)

Azul (100%)

1

M2

Fibras (5), Fragmentos (5)

Azul (70%), Rojo (20%), Negro (10%)

3

M3

Fibras (15), Fragmentos (5)

Azul (95%), Rojo (5%)

2

M4

Fibras (3)

Azul (67%), Negro (33%)

2

M5

Fibras (1), Fragmentos (1)

Azul (100%)

1

Payana

M1

Fragmentos (4)

Azul (100%)

1

M2

Fibras (1), Fragmentos (3)

Azul (50%), Rojo (25%), Negro (25%)

3

M3

Fibras (2), Fragmentos (2)

Azul (67%), Negro (33%)

2

M4

Fragmentos (2), Films (4)

Azul (60%), Rojo (40%)

2

M5

Fragmentos (4), Fibras (2), Films (1), Gránulos (3)

Azul (50%), Negro (30%), Blanco (10%), Amarillo (10%)

4 (Mayor variedad)


La presencia de colores variados en Payana (blanco, amarillo) sugiere aportes de plásticos fragmentados (envases, bolsas), mientras que la uniformidad en Costa Rica y Bellavista apunta a fuentes más localizadas. La ausencia de colores como verde o naranja en agua refuerza que estos tonos son más comunes en sedimentos, donde se acumulan partículas degradadas (Kholis et al., 2025).

 

Colorimetría en microplásticos presentes en sedimentos

Los sedimentos de manglar mostraron mayor diversidad cromática que el agua como se muestra en la Tabla 6, con presencia de tonos terrestres (verde, naranja) y colores opacos (plomo, negro), donde la muestra 2 (Costa Rica) y la muestra 4 (Payana) destacaron por su variedad (4 y 3 colores respectivamente). La acumulación de colores oscuros (negro/plomo) en sedimentos sugiere un proceso de envejecimiento y foto-degradación de los microplásticos, mientras que los tonos vivos (verdes y naranjas) encontrados en la isla Payana podrían derivar de plásticos de uso agrícola o turístico. Estos hallazgos confirman que los sedi-mentos actúan como sumideros de microplásticos, acumulando tanto fibras persistentes como fragmentos degradados, lo que resalta la importancia de monitorear no solo las fuentes acuáticas sino también los procesos de acumulación en manglares. La figura 5 muestra los diferentes tipos de microplásticos observados en muestras de agua y sedimento recolectadas en las islas del archipiélago de Jambelí.


 

Tabla 6

Colorimetría de microplásticos presentes en sedimentos

 

Isla

Muestra

Tipo MP (cantidad)

Colores predominantes (% por tipo)

Variedad cromática

(N° colores)

Bella-vista

M1

Fibras (14), Films (1)

Azul (80%), Negro (15%), Verde (5%)

3

M2

Fibras (13)

Azul (85%), Rojo (10%), Negro (5%)

3

M3

Fibras (14)

Azul (90%), Negro (10%)

2

M4

Fibras (6)

Azul (83%), Negro (17%)

2

M5

Fibras (8), Fragmentos (3)

Plomo (46%), Amarillo (36%), Verde (18%)

3

Costa Rica

M1

Fibras (13)

Azul (77%), Plomo (15%), Rosado (8%)

3

M2

Fibras (22), Fragmentos (1)

Azul (60%), Rojo (20%), Amarillo (15), Plomo (5%)

4 (Mayor variedad)

M3

Fibras (24)

Azul (75%), Rojo (25%)

2

M4

Fibras (17), Fragmentos (2)

Azul (68%), Amarillo (21%), Negro (11%)

3

M5

Fibras (20)

Azul (70%), Rojo (20%), Negro (10%)

3

Payana

M1

Fragmentos (4), Films (4), Fibras (4)

Azul (50%), Rojo (33%), Amarillo (17%)

3

M2

Fragmentos (3), Films (4), Fibras (1)

Plomo (100%)

1

M3

Fragmentos (2), Films (3), Fibras (4)

Negro (100%)

1

M4

Fragmentos (8), Films (2), Fibras (2)

Amarillo (42%), Naranja (33%), Verde (25%)

3

M5

Fragmentos (3), Films (3), Gránulos (1)

Azul (57%), Amarillo (43%)

2

 

Figura 5. Microplásticos en muestras de agua y sedimentos. (A) fibra rojo en muestra de agua del punto 3 (Isla Costa Rica), (B) fibra rosada en muestra de sedimento del punto 4 (Isla Bellavista), (C) fibra azul en muestra de sedimento punto 2 (Isla Payana), (D) fragmento multicolor en muestra de sedimento del punto 2 (Isla Bellavista), (E) fragmento fucsia en muestra de agua del punto 4 (Isla Costa Rica), (F) fragmento azul en muestra de agua del punto 4 (Isla Payana).


Las imágenes ilustran la diversidad morfológica y cromática encontrada, incluyendo fibras de distintos colores (A, B y C), fragmentos con tonalidades multicolores (D) y vívidas como fucsia (E) y azul (F), lo que refleja la complejidad en el origen de estos contaminantes. Estas evidencias visuales permiten confirmar las categorías establecidas por Kovač Viršek et al. (2016) y refuerzan la importancia de la observación microscópica en la caracterización de los microplásticos presentes en ambientes costeros.

 

Distribución porcentual de colorimetría

La colorimetría evidenció una clara dominancia del color azul, presente un 31,20% de las muestras de agua (Figura 6 A), seguido de otros colores como rojo con un 25%, negro con un 18,8%. La categoría Otros (que incluye colores como Lila, Verde y Naranja) abarcan el 12,5%, seguido del color blanco y amarillo ambas con un 6,2%. En cuanto a los sedimentos (Figura 6 B), aunque el color Azul también predomina, con un 36,4%, el negro se encuentra en segundo lugar con 20,8%, seguido por Plomo con 15,7%, Amarillo con 12%, y Rojo con 9,1%. Los colores agrupados bajo "Otro" representan un 6%, abarcando tonos como verde, rosado y naranja.

La dominancia del color azul en la distribución de microplásticos, tanto en agua como en sedimentos, es un hallazgo relevante que refleja patrones específicos en la contaminación por plásticos. Según las Gao et al. (2025) y Wang & Zhang (2025) el color azul fue el más predominante, seguido del color blanco y negro. De acuerdo con Ibrahim et al. (2025) y Muñiz & Rahman (2025), el color azul podría originarse por redes de pescas, que frecuentemente son confundidos por las especies marinas con su alimento.



 

 

Figura 6. Distribución de colorimetría de microplásticos en agua (A). Distribución de colorimetría de microplásticos en sedimentos (B).

 

 

CONCLUSIONES

 


Los resultados obtenidos en el estudio afirman la presencia significativa de microplásticos en las aguas superficiales y sedimentos de manglar del archipiélago de Jambelí. A través del análisis de muestras de agua y sedimentos recolectadas en tres islas, se identificó que las fibras son el tipo de microplástico predominante, con una concen-tración mayor en las zonas más cercanas a actividades humanas. La ausencia de ciertos tipos de microplásticos, como pelets y espumas, sugiere que los patrones de contaminación están estrechamente vinculados a fuentes locales, como redes de pesca y textiles sintéticos.

La diversidad cromática observada en las muestras, particularmente en los sedimentos, indica un proceso de degradación y envejecimiento de los plásticos, mientras que los colores vivos en algunas zonas podrían asociarse con actividades acuícolas o turísticas. Estos hallazgos subrayan la importancia de realizar monitoreos continuos en estos ecosistemas costeros para evaluar el impacto a largo plazo de la contaminación por micro-plásticos en la biodiversidad y los servicios ecosistémicos de los manglares. En base a los resultados obtenidos, es recomendable que futuros estudios se centren en evaluar cómo los microplásticos inciden en las especies locales y su potencial acumulación en las cadenas tróficas. Además, resulta esencial analizar el impacto de factores ambientales, como las mareas y las variaciones de temperatura, en la distribución y descomposición de estos contaminantes dentro de los ecosistemas de manglar.


 

REFERENCIAS BIBLIOGRÁFICAS

 


Andoy, C. J. M., Ochigue, P. C. D., Romarate, R. A., Rodil, M. S. P., Nakano, H., & Bacosa, H. P. (2025). Spatial and vertical distribution of microplastics in mangrove sediment in the southern Philippines. Marine Environmental Research, 209, 107223. https://doi.org/10.1016/j.marenvres.2025.107223

Chalán, L., Jaramillo, L., Calva, O., & Gordillo, I. (2015). Plan de Desarrollo y Ordenamiento Territorial de Jambelí. https://jambeli.gob.ec/images/marzo2018/PDOT-JAMBELi.pdf

De Lena, A., LeeTanjay, Q., Bridson, J. H., Parker, K., Pantos, O., Masterton, H., Ruffell, H., & Abbel, R. (2025). Abundances and characteristics of small (< 0.3 mm) and large (0.3–5 mm) microplastics found in Aotearoa New Zealand beach sediments. Marine Pollution Bulletin, 218, 118144. https://doi.org/10.1016/j.marpolbul.2025.118144

Fernandes, A. N., Bertoldi, C., Lara, L. Z., Stival, J., Alves, N. M., Cabrera, P. M., & Grassi, M. T. (2022). Microplastics in Latin America Ecosystems: A Critical Review of the Current Stage and Research Needs. In Journal of the Brazilian Chemical Society, 33(4), 303–326. https://doi.org/10.21577/0103-5053.20220018

Gao, P., Huang, D. M., Hu, W., Chen, W., Fadhullah, W., & John, A. (2025). Marine microplastic pollution in Peninsular Malaysia: A meta-analysis. Regional Studies in Marine Science, 86, 104228. https://doi.org/10.1016/j.rsma.2025.104228

Guo, Y., Wang, M., Wang, M., Jiang, F., Guo, X., Xing, M., Han, Q., Jia, B., Pan, H., & Chen, M. (2025). Characteristics of microplastic pollution in sediments and error analysis of ecological risk assessment in Qin River, China. Journal of Hazardous Materials, 495, 138869. https://doi.org/10.1016/j.jhazmat.2025.138869

He, X., Xu, S., Ren, H., Yang, X., Su, F., Gao, S., Xie, C., Zhao, J., Jin, Z., Shen, X., Che, R., & Xiao, D. (2025). Microplastic pollution threatens mangrove carbon sequestration capacity. Environmental Science and Ecotechnology, 26, 100593. https://doi.org/10.1016/j.ese.2025.100593

Helmberger, M., Auscavitch, S., Linehan, J., Shank, T., Cordes, E., & Rotjan, R. (2025). Microplastic accumulation visually and fluorescently undetectable within deepwater corals of the remote equatorial Pacific. Deep Sea Research Part I: Oceanographic Research Papers, 223, 104550. https://doi.org/10.1016/J.DSR.2025.104550

Hernández-Morales, G., López-Mendez, M. C., Rico-Barragán, A. A., Pérez-Moreno, J., Peña-Montes, C., Peralta-Pelaez, L. A., & González-Moreno, H. R. (2025). Microplastic Pollution in Tropical River: Fourier Transform Infrared Spectroscopy-Based Characterization of Abundance and Polymer Composition in Water and Sediments from Filobobos River, Mexico. Hydrology, 12, 124. https://doi.org/10.3390/hydrology12050124

Hidalgo-Ruz, V., Gutow, L., Thompson, R. C., & Thiel, M. (2012). Microplastics in the marine environment: A review of the methods used for identification and quantification. Environmental Science and Technology 2012, 46(6), 3060–3075. https://doi.org/10.1021/es2031505

Ibrahim, Y. S., Abd Razak, N. I., Roslan, N. S., Yusof, K. M. K. K., Mohd Ali, A. A., Omar, N. F., Chinglenthoiba, C., Mohamad, N. N., & Anuar, S. T. (2025). Morphochemical information on microplastic fibers found in edible tissue of local commercial fishes from the South China Sea and the Straits of Malacca for potential human consumption. Environmental Science: Advances, 4(6), 964–979. https://doi.org/10.1039/d4va00425f

INVEMAR. (2018). Metodología para el muestreo y análisis de microplásticos en aguas superficiales y sedimentos de manglar. Instituto de Investigaciones Marinas y Costeras “José Benito Vives de Andréis. https://siam.invemar.org.co

Kholis, N., Manullang, C. Y., Anuar, S. T., Atmadipoera, A. S., Zuraida, R., & Patria, M. P. (2025). Microplastic occurrence in the deep-sea sediment of the Indonesian Throughflow, Banggai Sea. Journal of Hazardous Materials Advances, 19, 100780. https://doi.org/10.1016/j.hazadv.2025.100780

Kovač Viršek, M., Palatinus, A., Koren, Š., Peterlin, M., Horvat, P., & Kržan, A. (2016). Protocol for Microplastics Sampling on the Sea Surface and Sample Analysis. Journal of Visualized Experiments, 118. https://doi.org/10.3791/55161

Kye, H., Kim, J., Ju, S., Lee, J., Lim, C., & Yoon, Y. (2023). Microplastics in water systems: A review of their impacts on the environment and their potential hazards. Heliyon, 9(3), e14359. https://doi.org/10.1016/j.heliyon.2023.e14359

Li, C., Zhu, L., Dong, X., Zong, C., & Li, D. (2025). A comprehensive evaluation of pelagic microplastic pollution in surface water near the Xisha Islands of the South China Sea. Gondwana Research, 140, 135–145. https://doi.org/10.1016/j.gr.2024.12.011

Menezes, K. M., Costa, M. B. da, Schuab, J. M., Dalbó, G. Z., Alves, M. M., Ocaris, E. R. Y., & Rodrigues, F. L. (2025). Microplastic contamination in the mangroves of Piraquê-Açu and Piraquê-Mirim rivers, Aracruz (Brazil): An analysis in sediment, water, and biota. Marine Pollution Bulletin, 214, 117696. https://doi.org/10.1016/j.marpolbul.2025.117696

Mohamed, C. A. R., Shahruddin, A. N., Pradit, S., Loh, P. S., Nitiratsuwan, T., Kobkeatthawin, T., Noppradit, P., Le, T. P. Q., Oeurng, C., Sok, T., Lee, C. W., Bong, C. W., Lu, X., Anshari, G. Z., Kandasamy, S., & Wang, J. (2023a). Depth Profiles of Microplastic in Sediment Cores in the Mangrove Area of Kuala Gula Mangrove, Malaysia. Journal of Marine Science and Engineering, 11(6), 1223. https://doi.org/10.3390/jmse11061223

Monnanni, A., Rimondi, V., Morelli, G., Nannoni, A., Cincinelli, A., Martellini, T., Chelazzi, D., Laurati, M., Sforzi, L., Ciani, F., Lattanzi, P., & Costagliola, P. (2024). Microplastics and microfibers contamination in the Arno River (Central Italy): Impact from urban areas and contribution to the Mediterranean Sea. Science of The Total Environment, 955, 177113. https://doi.org/10.1016/j.scitotenv.2024.177113

Morante, F., Gonzalez, M., Olaya, P., & Garcés, D. (2012). Valoración de procesos erosivos y depositación mediante aplicación de métodos granulométricos y de difracción de rayos X en sedimentos de borde litoral en el Archipélago de Jambelí, Ecuador. Técnicas aplicadas a la caracterización y aprovechamiento de recursos geológico-mineros, Vol III: Interacción Con La Sociedad, 63–73.

Morici, E., Cammilleri, G., Scirè, S., Bonomo, F. P., Tranchina, L., Terracina, F., Galluzzo, P., Ferrantelli, V., Monteverde, V. P., Galluzzo, F. G., Davì, S., Licciardi, M., & Dara, S. (2025). Survey on the presence of floating microplastics, trace metals and metalloids in seawater from Southern Italy to the United States of America. Ecotoxicology and Environmental Safety, 290, 117507. https://doi.org/10.1016/j.ecoenv.2024.117507

Muñiz, R., & Rahman, M. S. (2025). Microplastics in coastal and marine environments: A critical issue of plastic pollution on marine organisms, seafood contaminations, and human health implications. Journal of Hazardous Materials Advances, 18, 100663. https://doi.org/10.1016/j.hazadv.2025.100663

Paduani, M., Ross, M., & Gardinali, P. (2025). Microplastic Filtration by a Coastal Mangrove Wetland as a Novel Ecosystem Service. Microplastics, 4(2), 15. https://doi.org/10.3390/microplastics4020015

Pardo, K. (2024). Comparación de la contaminación por micro y macroplásticos en las playas Monteverde, Cadeate y Montañita en la provincia de Santa Elena. [Tesis de grado, Universidad Estatal Península de Santa Elena]. Repositorio Institucional UPSE. https://repositorio.upse.edu.ec/handle/46000/10854

Pradit, S., Noppradit, P., Loh, P. S., Nitiratsuwan, T., Le, T. P. Q., Oeurng, C., Mohamed, C. A. R., Lee, C. W., Lu, X., Anshari, G. Z., Kandasamy, S., & Wang, J. (2022). The Occurrence of Microplastics in Sediment Cores from Two Mangrove Areas in Southern Thailand. Journal of Marine Science and Engineering, 10(3), 418. https://doi.org/10.3390/jmse10030418

Praveena, S. M., Ahmad Pakharuddin, N. A., Nafisyah, A. L., Karuppannan, S., & Sundaramanickam, A. (2025). Baseline assessment of microplastics pollution in beach sediments along tropical coastline (Kuala Langat, Malaysia). Marine Pollution Bulletin, 216, 117938. https://doi.org/10.1016/j.marpolbul.2025.117938

Priya, A. K., Muruganandam, M., Imran, M., Gill, R., Vasudeva Reddy, M. R., Shkir, M., Sayed, M. A., AlAbdulaal, T. H., Algarni, H., Arif, M., Jha, N. K., & Sehgal, S. S. (2023). A study on managing plastic waste to tackle the worldwide plastic contamination and environmental remediation. Chemosphere, 341, 139979. https://doi.org/10.1016/j.chemosphere.2023.139979

Reynaud, J.-Y., Witt, C., Pazmiño, A., & Gilces, S. (2018). Tide-dominated deltas in active margin basins: Insights from the Guayas estuary, Gulf of Guayaquil, Ecuador. Marine Geology, 403, 165–178. https://doi.org/10.1016/j.margeo.2018.06.002

Ricciardi, M., Pironti, C., Motta, O., Miele, Y., Proto, A., & Montano, L. (2021). Microplastics in the aquatic environment: Occurrence, persistence, analysis, and human exposure. Water, 13(7), 973. https://doi.org/10.3390/w13070973

Roshni, K., Renjithkumar, C. R., Amal, R., & Devipriya, S. P. (2025). Characterization and risk assessment of microplastics accumulated in sediments and benthic molluscs in the mangrove wetlands along the south-west coast of India. Marine Pollution Bulletin, 216, 117955. https://doi.org/10.1016/j.marpolbul.2025.117955

Sagot Valverde, J. G. (2022). Monitoreo y caracterización de microplásticos en arenas de playas y aguas costeras de Costa Rica. Revista Internacional de Comunicación y Desarrollo (RICD), 4(17). https://doi.org/10.15304/ricd.4.17.8807

Tunç Dede, Ö., & Tepe, Y. (2025). An overview on microplastic pollution in the Black Sea coastal waters of Türkiye. Regional Studies in Marine Science, 89, 104319. https://doi.org/10.1016/j.rsma.2025.104319

Vélez, P., Romero, D., & Yánez, G. (2024). Microplastics in Ecuador: A review of environmental and health-risk assessment challenges. Heliyon, 10(1), e23232. https://doi.org/10.1016/j.heliyon.2023.e23232

Villamar, J. E. (2022). Análisis de la presencia de microplásticos en diferentes organismos marinos del Ecuador 2018-2021. Universidad Estatal Península de Santa Elena. [Tesis de grado, Universidad Estatal Península de Santa Elena]. Repositorio Institucional UPSE.

Wang, J., & Zhang, Z. (2025). Distribution and diversity of microplastics along the aquatic food web in the largest mangrove reserve of China. Journal of Hazardous Materials, 489, 137697. https://doi.org/10.1016/j.jhazmat.2025.137697

Wang, Z., Hu, M., Fan, J., Zheng, H., Wang, C., Ahmad, M., Li, L., Zhao, G., Zhang, G., Zhang, Y., Hu, J., & Wang, Y. (2025). Microplastic pollution in the Indian Ocean: Fiber-dominated contamination and comparative bioaccumulation in Auxis thazard and Symplectoteuthis oualaniensis. Marine Environmental Research, 210, 107304. https://doi.org/10.1016/j.marenvres.2025.107304

Wu, F., Zhang, C., Li, X., Liu, S., Wang, J., & Huang, W. (2025). Distribution, Diversity, and Ecological Risks of Microplastics in Mangrove Ecosystems of a Southeastern Chinese Estuary. Toxics, 13(6), 494. https://doi.org/10.3390/toxics13060494

Wu, L., Li, C., Huang, C., Luo, Y., Huang, J., Chen, F., Huang, X., & Sun, R. (2025). Ocean current modulation of the spatial distribution of microplastics in the surface sediments of the Beibu Gulf, China. Journal of Hazardous Materials, 488, 137332. https://doi.org/10.1016/j.jhazmat.2025.137332

Zambrano Witong, K. T., Medina Cedeño, J. C., Pincay Cantos, M. F., & Calderón Pincay, J. M. (2024). Valoración de la presencia de microplásticos en la playa de San Vicente de la provincia de Manabí – Ecuador. Revista Científica y Tecnológica UPSE, 11(2), 36–45. https://doi.org/10.26423/rctu.v11i2.826

Zhiminaicela-Cabrera, J., Quevedo-Guerrero, J., & Morocho-Castillo, A. (2020). Deforestation and vegetation cover changes in the Jambelí Archipelago, using Landsat-8 satellite images. Manglar, 17(2), 153–157. https://doi.org/10.17268/manglar.2020.023