Influencia de ácido giberélico y tiempo de remojo sobre la germinación de semillas de Coffea arabica L. var. catimor “café”
Influence of gibberellic acid and soaking time on the germination of Coffea arabica L. var. catimor “coffee” seeds
Jessi Julissa Escobedo Baylon 1; Ana Sofia Charcape Méndez 1; Segundo Eloy López Medina1*;
José Mostacero León 1; Juan Carlos Rodríguez Soto 1 ; Armando Efraín Gil Rivero1;
Anthony J. De La Cruz Castillo1 ; Luigi Italo Villena Zapata2
1 Departamento de Ciencias Biológicas. Grupo de Investigación Augusto Weberbauer. Facultad de Ciencias Biológicas. Universidad Nacional de Trujillo. Ciudad Universitaria, Av. Juan Pablo Segundo S/N, Trujillo, Perú.
2 Departamento de Ciencias, Estudios Generales, Grupo de Investigación Augusto Weberbauer, Universidad Privada del Norte, Campus Virtual, 13001 Trujillo, Perú.
* Autor corresponsal: slopezm@unitru.edu.pe (S. López- Medina).
ORCID de los autores
J. J. Escobedo Baylon: https://orcid.org/0009-0006-7105-3291 A. S. Charcape Méndez: https://orcid.org/0009-0004-0829-3458
S. E. López Medina: https://orcid.org/0000-0001-7719-8607 J. Mostacero León: https://orcid.org/0000-0003-2556-3013
J. C. Rodríguez Soto: https://orcid.org/0000-0002-8166-8859 A. E. Gil Rivero: https://orcid.org/0000-0002-4521-5588
A. J. De La Cruz Castillo: https://orcid.org/0000-0002-5409-6146 L.I. Villena Zapata: https://orcid.org/0000-0001-9430-0028
RESUMEN
En Perú, el cultivo orgánico de Coffea arabica L. var. catimor “café”, ha alcanzado una alta demanda de exportación, debido a su calidad, aroma y sabor equilibrado, con toque de frutas, nueces o miel, dependiendo el tueste y gusto del consumidor. Dado su valor económico y la necesidad de ampliar su cultivo, se requiere de técnicas que mejoren sus características germinativas. Ante ello se propuso como objetivo determinar la influencia de ácido giberélico y tiempo de remojo sobre la germinación de semillas de C. arabica. Para ello, se realizó un estudio en el Laboratorio de Biotecnología del Instituto de Papa y Cultivos Andinos de la Universidad Nacional de Trujillo, utilizando ácido giberélico con diferentes concentraciones (0, 100, 200 y 300 ppm) y tiempos de remojo (0, 12 y 24 horas). El experimento se realizó con un diseño de bloques completamente al azar y se midieron variables como el porcentaje de germinación, la velocidad de germinación y la vitalidad (IC). Se encontró que el porcentaje de germinación, velocidad de germinación y vitalidad (IC) entre las diferentes concentraciones de ácido giberélico y tiempo de remojo sobre la germinación de semillas de C. arabica no demostraron diferencia significativa. Se concluye que la adición de ácido giberélico y tiempo de remojo resultan poco relevante sobre la germinación, por tanto, su uso resulta innecesario su aplicación sobre las semillas de C. arabica var. catimor.
Palabras clave: Ácido giberélico; café; germinación; emergencia; semillas.
ABSTRACT
In Peru, the organic cultivation of Coffea arabica L. var. catimor “coffee” has reached a high export demand, due to its quality, aroma and balanced flavor, with a touch of fruit, nuts or honey, depending on the roast and consumer taste. Given its economic value and the need to expand its cultivation, techniques that improve its germination characteristics are required. In view of this, the objective was to determine the influence of gibberellic acid and soaking time on the germination of C. arabica seeds. To this end, a study was conducted at the Biotechnology Laboratory of the Institute of Potato and Andean Crops of the National University of Trujillo, using gibberellic acid with different concentrations (0, 100, 200 and 300 ppm) and soaking times (0, 12 and 24 hours). The experiment was carried out with a completely randomized block design and variables such as germination percentage, germination rate and vitality (IC) were measured. It was found that the germination percentage, germination rate and vitality (IC) between the different concentrations of gibberellic acid and soaking time on the germination of C. arabica seeds did not show significant differences. It is concluded that the addition of gibberellic acid and soaking time are of little relevance to germination, therefore, its use on C. arabica var. catimor seeds is unnecessary.
Keywords: Gibberellic acid; coffee; germination; emergence; seeds.
Recibido: 11-04-2025.
Aceptado: 10-08-2025.
![]() |
INTRODUCCIÓN
En el Perú, el cultivo del café se cultiva principal-mente en la vertiente oriental de la Cordillera de los Andes, destacando las regiones de Cajamarca, Junín, San Martín, Pasco y Amazonas, por contar con climas cálidos y húmedos, adecuados para su producción (Almerco et al., 2021; Jiménez et al., 2021; Madrid, 2021; Salas et al., 2020). Si bien el centro de origen de C. arabica es Etiopia, África. Su llegada a Sudamérica estuvo influenciada por los colonizadores. Recién en el siglo XIX se cultivó a gran escala con fines comerciales a nivel nacional. Para el siglo XX, su cultivo se consolidó en grandes extensiones sin perjudicar las zonas boscosas, surgimientos de nuevas variedades y la apertura de mercado internacional para la agroexportación. Actualmente Perú ocupa el noveno puesto a nivel mundial debido al cultivo orgánico, manejo agroforestal responsable y peculiaridades entorno al olor, sabor y textura. La variedad más cultivada en territorio peruano es catimor, debido a su resistencia a la roya (Coffe et al., 2020; Julca et al., 2018; Tucto & Camones, 2021).
La propagación de C. arabica, puede realizarse mediante semillas, estacas o mediante su cultivo in vitro. Sin embargo, el método más económico y común es el uso de semilla botánica, debido a su facilidad de adquisición y de emplear procedi-mientos básicos para su germinación. Dentro de los criterios que te toman en cuenta para evaluar la calidad fisiológica de la semilla son: el porcentaje de germinación, velocidad de germinación vitalidad germinativa (Ali et al., 2022; Avezum et al., 2023; Matilla, 2025; Vargas et al., 2025). Las hormonas vegetales, como las giberelinas, desempeñan un papel crucial en la regulación del crecimiento y desarrollo de las plantas (Hurtado & Quintana, 2021; Huaylla, 2024; Oscco et al., 2020). Según Bertolin et al. (2010), sostienen que las variaciones en los niveles hormonales pueden generar efectos tanto estimulantes como inhibitorios en las plantas (Berill et al., 2020; Braga et al., 2020; Pérez et al., 2024).
El ácido giberélico es una herramienta eficaz para romper la latencia de las semillas, estimular el crecimiento del embrión y movilizar reservas (Carvalho et al., 2023; Fischer et al., 2024; Honorato et al., 2020; Morales et al., 2023). Este proceso ocurre cuando las semillas se encuentran en condiciones propicias para la germinación en cuanto a humedad y temperatura, el ácido giberélico actúa a través del escutelo, alcanzando la aleurona y promoviendo la producción de enzimas hidrolíticas, las cuales descomponen el almidón en azúcares solubles como la glucosa, lo que a su vez facilita la síntesis de proteínas necesarias para el crecimiento celular (Carrera et al., 2020; Díaz, Carrillo & Suárez, 2023; Fischer et al., 2021; Flechas, 2020; Flesken et al., 2020).
Se han llevado a cabo diversas investigaciones sobre la aplicabilidad del ácido giberélico en el cultivo del café y otras especies (Li et al., 2022; Oliveira et al., 2020). Vidal et al. (2023), sostiene que atributos físicos influyen inversamente proporcional con los aspectos fisiológicos de las semillas de C. arabica. Empleando las accesiones UNACAF-172 y UNACAF-146, con mejores atributos en cuanto a diámetro polar, aritmético y geométrico, manifestaron menor porcentaje de germinación y peso de plántula. Por lo contario las accesiones UNACAF-119 y UNACAF-90, eviden-ciaron bajos atributos físicos, sin embargo, se obtuvo un alto porcentaje de germinación. Concluyéndose que el componente genético y ambiental tiene un papel crucial en los atributos físicos y fisiológicos de las semillas de C. arabica. Por otro lado, Leal et al. (2022), afirma haber obtenido un 83% de germinación de C. arabica. al germinar bajo condiciones in vitro y empleando un sistema de inmersión temporal (SIT).
A su vez Flechas & Medina (2021), al evaluar diferentes condiciones de temperatura y humedad, demostró que la condición ambiental de 10±2 °C y 65±7% de humedad relativa, favorece el porcentaje de germinación hasta en un 75%. De manera similar, en otros cultivos, se ha comprobado la eficiencia del ácido giberélico favorece la germinación. Por ejemplo, López (2018), reportó que una concentración de 200 ppm de ácido giberélico optimizó la germinación en semillas de papaya variedad criolla, mientras que Alvarado (2019), identificó que el uso de 1900 mg/L de ácido giberélico generó un aumento significativo en la tasa y velocidad de germinación en semillas de tres genotipos nativos de arándano. Dado que el ácido giberélico es una hormona vegetal con posibles efectos positivos en la germinación al interrumpir la latencia y sustituir estímulos ambientales como la luz y la temperatura, mediante su aplicación se busca optimizar los procesos de propagación, contribuyendo con una mayor eficiencia en la producción de plántulas, reduciendo pérdidas y mejorando la calidad del cultivo desde su etapa inicial. Por tanto, la aplicación del ácido giberélico en semillas de Coffea arabica L. var. catimor “café”, contribuiría favorablemente en la reducción de la dormancia fisiológica de la semilla, debido a factores como inhibidores, viabilidad limitada y dureza del endospermo. Ante ello se propuso como objetivo de investigación determinar la influencia de ácido giberélico y tiempo de remojo sobre la germinación de semillas de Coffea arabica L. var. catimor “café” (López & Gil, 2017).
MATERIAL Y MÉTODOS
Se recolectaron 900 semillas al azar de C. arabica var. catimor, procedentes de frutos maduros sin daños mecánicos procedentes del sector San Miguel, distrito de Chirinos, provincia de San Ignacio, Departamento de Cajamarca. Las semillas fueron transportadas al invernadero del Laboratorio de Biotecnología de la Universidad Nacional de Trujillo.
Secado, escarificación y tratamiento de semillas
En invernadero las semillas se secaron en un lugar protegido del sol. Luego se sometieron a escarificación mecánica, retirando el pergamino de las semillas. Posteriormente, se desinfectaron las semillas utilizando una solución de hipoclorito de sodio al 1%. Se empleó un diseño de bloques completamente al azar, distribuyéndose 12 tratamientos, con 3 repeticiones y 25 unidades muestrales, considerándose 2 factores.
El factor 1, en relación a la concentración de ácido giberélico (0, 100, 200 y 300 ppm). Por otro lado, el factor 2 en relación a los tiempos de remojo (0, 12 y 24 horas). En lo que respecta al tratamiento con ácido giberélico, se elaboró una solución madre de 1000 ppm disolviendo 100 mg de la hormona de la marca SIGMA, con una pureza del 99,8%. A partir de esta solución stock, se realizaron diluciones en vasos precipitados para obtener los siguientes tratamientos: T1 (testigo), T2 (100 ppm), T3 (200 ppm) y T4 (300 ppm), considerándose tiempos de remojo de 0, 12 y 24 horas. Cumplido los tratamientos, se procedió a distribuir a sus respectivas placas de Petri.
Porcentaje de germinación (PG)
Se consideró para la toma de datos, la medición de la radícula, un tamaño de 0,5 cm de largo, para ser considerado una semilla germinada; esta evaluación tuvo un tiempo de 30 días. El porcentaje de germinación (PG), se calculó mediante la siguiente fórmula (Caroca, et al., 2016).
![]()
Velocidad de germinación (G)
Para determinar G se aplicó la siguiente fórmula (Pece et al., 2010):
Donde Ni: Número de
semillas germinadas el día Di; Gi: Tiempo de germinación transcurrido desde la
siembra.
Determinación de la vitalidad (IC)
La vitalidad se determinó a través del índice de czabator, utilizando la curva de germinación, que se obtuvo a través del porcentaje acumulado diario.
Este índice se calculó mediante la siguiente fórmula:
![]()
Dónde VA: valor más alto obtenido del porcentaje de germinación dividido entre el tiempo de duración del ensayo; GMD: germinación media diaria, que viene a ser el porcentaje final de germinación entre el número de días que duró el ensayo (Farooq et al., 2022; Hartmann y Kester,1980; Hernández, Perales & Jaffee, 2020).
Análisis estadístico
Se realizó un diseño en bloques completamente al azar. Se empleó el ANOVA unifactorial y la prueba post hoc de comparaciones múltiples de Tukey, con una estimación interválica de 95% de confianza, con la finalidad de demostrar la existencia de diferencias estadísticamente significativas (López et al., 2024).
RESULTADOS Y DISCUSIÓN
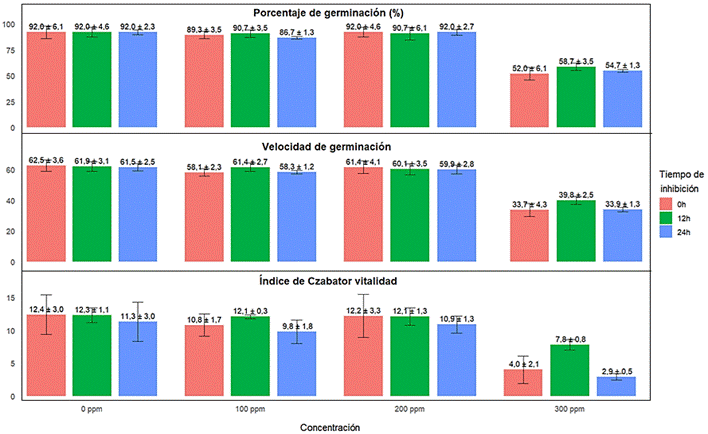
Según los resultados de la Tabla 1 y Figura 2, las características germinativas de C. arabica mostra-ron patrones diferenciados en respuesta a las concentraciones de ácido giberélico y tiempos de inhibición, donde el porcentaje de germinación mantuvo valores óptimos (89,3% - 92,0%) en concentraciones de 0 - 200 ppm independiente-mente del tiempo de inhibición, pero se redujo (52,0% - 58,7%) a 300 ppm. La velocidad de germinación exhibió valores más altos (58,1-62,4) en concentraciones de 0 - 200 ppm para todos los tiempos de inhibición, disminuyendo notable-mente (33,7 - 39,8) a 300 ppm; mientras que el índice de vitalidad de Czabator alcanzó sus valores máximos (10,8 - 12,4) en el rango de 0 - 200 ppm, con una marcada disminución (2,9 - 7,8) a 300 ppm.
Tabla 1
Estadísticos de las características germinativas de semillas de C. arabica tratadas con diferentes concentraciones de ácido giberélico y tiempos de remojo
|
Porcentaje de germinación (%) |
||||
|
Tiempo de inhibición |
Concentración |
|||
|
0 ppm |
100 ppm |
200 ppm |
300 ppm |
|
|
0 h |
92,0 ± 6,1 |
89,3 ± 3,5 |
92,0 ± 4,6 |
52,0 ± 6,1 |
|
12 h |
92,0 ± 4,6 |
90,7 ± 3,5 |
90,7 ± 6,1 |
58,7 ± 3,5 |
|
24 h |
92,0± 2,3 |
86,7 ± 1,3 |
92,0 ± 2,7 |
54,7 ± 1,3 |
|
Velocidad de germinación |
||||
|
Tiempo de inhibición |
Concentración |
|||
|
0 ppm |
100 ppm |
200 ppm |
300 ppm |
|
|
0 h |
62,5 ± 3,6 |
58,1 ± 2,3 |
61,4 ± 4,1 |
33,7 ± 4,3 |
|
12 h |
61,9 ± 3,1 |
61,4 ± 2,7 |
60,1 ± 3,5 |
39,8 ± 2,5 |
|
24 h |
61,5 ± 2,5 |
58,3 ± 1,2 |
59,9 ± 2,8 |
33,9 ± 1,3 |
|
Índice de Czabator vitalidad |
||||
|
Tiempo de inhibición |
Concentración |
|||
|
0 ppm |
100 ppm |
200 ppm |
300 ppm |
|
|
0 h |
12,4 ± 3.0 |
10,8 ± 1,7 |
12,2 ± 3,3 |
4,0 ± 2,1 |
|
12 h |
12,3 ± 1,1 |
12,1 ± 0,3 |
12,1 ± 1,3 |
7,8 ± 0,8 |
|
24 h |
11,3 ± 3,0 |
9,8 ± 1,8 |
10,9 ± 1,3 |
2,9 ± 0,5 |
Nota. Los valores presentados en la tabla corresponden a la media ± error estándar (EE) calculados a partir de tres repeticiones (n = 3) por tratamiento.

Figura 2. Barras de las características germinativas (porcentaje, velocidad e índice de vitalidad) de semillas de C. arabica tratadas con diferentes concentraciones de ácido giberélico y tiempos de remojo.
Esto sugiere que concentraciones elevadas de ácido giberélico (300 ppm) tienen un efecto inhibitorio sobre la germinación de esta especie, siendo entre 0 - 200 ppm más favorables para optimizar el proceso germinativo independientemente del tiempo de inhibición aplicado (Santás et al., 2023; Srivastava et al., 2021; Soares et al., 2022). Según Valarezo (2020), el comportamiento de las características germinativas está condicionado por factores genéticos al sembrar diferentes cultivares de café: Brasil, Caturra, Amarillo, Sarchimor y Maragogipe empleando diferentes concentraciones de ácido giberélico, demostrando que no todos los cultivares empleados reaccionan de la misma manera al ser expuestos al ácido giberélico inhibiendo o favoreciendo la germinación. Ejemplo de estos resultados son las investigaciones de Suhendra et al. (2021), quienes identificaron que la concentración de 200 ppm de ácido giberélico, resultaron ser favorables en la germinación de variedades de C. arabica provenientes de Solok, Sumatra (Rivera et al., 2022; Rocha et al., 2023).
El análisis de varianza para el porcentaje de germinación de C. arabica (Figura 3), reveló un efecto significativo del factor concentración de ácido giberélico (F = 52,778, p = 1,02E-10), mientras que el tiempo de inhibición (F = 0,203, p = 0,817) y la interacción entre ambos factores (F = 0,225, p = 0,965) no mostraron efectos significa-tivos; la prueba de comparaciones múltiples de Tukey identificó dos grupos homogéneos, las concentraciones de 0, 100 y 200 ppm conformaron el grupo 'a' con promedios de 92,0%, 88,9% y 91,6% respectivamente; mientras que la concen-tración de 300 ppm constituyó el grupo 'b' con un promedio significativamente menor de 55,1%.

Figura 3. Barras de los efectos de diferentes concentraciones de ácido giberélico sobre: a) El porcentaje de germinación. b) Velocidad de germinación. c) Índice de Czabator vitalidad de semillas. d) Efectos de diferentes tiempos de inhibición de ácido giberélico sobre índice de Czabator vitalidad de semillas de C. arabica, según la prueba de comparaciones múltiples de Tukey. Nota. p-valor obtenido mediante ANOVA unifactorial. Las letras entre paréntesis indican grupos homogéneos según la prueba de Tukey (p < 0,05).
Esto evidencia que concentraciones eleva-das de ácido giberélico afectan negativamente la germinación de esta especie (Langa et al., 2024). Por el contrario, Gordillo et al. (2021) obtuvieron un efecto sinérgico al combinar el ácido giberélico con tiempos de remojo de ácido salicílico, por un periodo de 3 y 4 h, lográndose una germinación temprana y un efecto favorable en la altura y diámetro del hipocótilo (Chen et al., 2020; Kamboj et al., 2024). Asu vez García (2021), sostiene que la incorporación de biofertilizante a base de microorganismos eficientes (EM), maximiza la germinación y emergencia de semillas de C. arabica var Caturra amarillo (Reed et al., 2022).
El análisis de varianza para la velocidad de germinación de C. arabica, como se muestra en la figura 3, demostró un efecto significativo del factor concentración de ácido giberélico (F = 52,453, p = 1,09E-10), mientras que el tiempo de inhibición (F = 0,740, p = 0,488) y la interacción entre ambos factores (F = 0,372, p = 0,889) no presentaron efectos significativos; la prueba de comparaciones múltiples de Tukey identificó dos grupos homogé-neos, donde las concentraciones de 0, 100 y 200 ppm conformaron el grupo 'a' con promedios de 62,0, 59,3 y 60,5 respectivamente, mientras que la concentración de 300 ppm constituyó el grupo 'b' con un promedio significativamente menor de 35,8, evidenciando que concentraciones elevadas de ácido giberélico reducen la velocidad de germinación de esta especie. Ferrás et al (2021), sostiene que un mejor porcentaje de germinación se obtiene al emplear bioproducto IHPLUS (6%), debido a que los probióticos que integran su composición estimulan el proceso germinativo (Brito, 2022; Jose & Sivaprasad, 2025; Wu etal., 2020; Wu et al., 2025).
De la Figura 3 los resultados correspondientes al índice de Czabator vitalidad de C. arabica, revela-ron efectos significativos tanto del factor concentración de ácido giberélico (F = 22,864, p = 3,23E-07) como del tiempo de inhibición (F = 3,687, p = 0,040), mientras que la interacción entre ambos factores no mostró efectos significativos (F = 0,758, p = 0,610).
Tabla 2
Antecedentes de la aplicabilidad del ácido giberélico en la germinación de diferentes especies
|
Referencia |
Especie |
Resultados |
|
(Carrasco et al., 2025) |
Physalis peruviana “aguaymanto”
|
Afirma que el empleo de 500 ppm de ácido giberélico optimiza las características germinativas de P. peruviana “aguaymanto”, en cuanto a germinación y emergencia, siendo la concentración óptima para su propagación. |
|
(Zhang et al., 2024) |
Oryza sativa “arroz” |
Afirma que el uso de ácido giberélico estimula la germinación y contribuye a la tolerancia frente al estrés hídrico, al reducir los efectos del estrés oxidativo. |
|
(Niño et al., 2020) |
Amaranthus hybridus “amaranto” |
Aseguran que la concentración de 400 y 800 mg L-1 de ácido giberélico inciden favorablemente sobre la germinación de semillas de amaranto. |
|
(Bhadra et al., 2024) |
Tinospora cordifolia “amrita” |
Señala que una concentración de 300 ppm de ácido giberélico optimiza completamente el proceso de germinación. |
|
(Villena et al., 2024) |
Myrcianthes rhopaloides “arrayán”, Oreocallis grandiflora “flor de cera”, Weinmannia fagaroides “encenillo” |
La aplicación de ácido giberélico como tratamiento pregermi-nativo genera un aumento notable en los porcentajes y la rapidez de germinación, por lo que se sugiere su uso en procesos de propagación. |
|
(Morales et al., 2023) |
Carica papaya L. “papaya” |
Las semillas expuestas a la dosis más alta de 250 mg L⁻¹ de AG₃ durante un periodo de imbibición de 24 horas mostraron un aumento favorable en el porcentaje de germinación (72,5%); además de incrementar su velocidad de germinación y índice de germinación. |
|
(Homero et al., 2023) |
Valeriana officinalis “valeriana” |
El mayor porcentaje de germinación se alcanzó utilizando el tratamiento con ácido giberélico (16%), durante un periodo de 47 días. |
|
(Sinchi, E., 2024) |
Hylocereus undatus “pitahaya” |
El uso combinado de luz LED roja (700 nm) y una concentración de 11 ppm de ácido giberélico (AG₃) tuvo un efecto notablemente positivo en la germinación de semillas de pitahaya, logrando un 100% de germinación en un periodo de 30 días. |
|
(Orantes et al., 2023) |
Guaiacum sanctum “guayacán” |
El porcentaje final de germinación se incrementó conforme se aumentaron las concentraciones de ácido giberélico. Por tanto, el uso de esta hormona en la germinación in vitro representa una opción viable para la propagación y preservación de esta especie forestal. |
|
(Paredes, L. & Velez, A. 2024) |
Cannabis sativa “marihuana” |
Al aplicar diferentes concentraciones de ácido giberélico en vitroplantas, se identificó que la marihuana, cultivada en el medio Murashige y Skoog complementado con carbón activado ácido y con una concentración de 1 mg/L de ácido giberélico, presentó el mayor crecimiento en altura de las vitroplantas.
|
La prueba de comparaciones múltiples de Tukey identificó dos grupos homogéneos para la concentración, donde 0, 100 y 200 ppm conformaron el grupo 'a' con promedios de 12, 10,9 y 11,7 respectivamente, mientras que 300 ppm constituyó el grupo 'b' con un promedio significativamente menor de 4,9; asimismo, para el tiempo de inhibición se identificaron tres grupos, donde 12 h conformó el grupo 'a' con promedio de 11,1; 0 h el grupo 'ab' con 9,8, y 24 h el grupo 'b' con 8.7, demostrando que tanto concentraciones elevadas de ácido giberélico como mayores tiempos de inhibición afectan negativamente el índice de vitalidad de esta especie, por tanto concentraciones superiores a los 500 ppm de ácido giberélico tienen un efecto negativo en la germi-nación (Chenyin et al., 2023; Franco et al., 2024). Es importante destacar que las hormonas vegetales o fitohormonas actúan en concentraciones muy bajas, modificando los patrones de crecimiento de las plantas y facilitando su control. En el caso del ácido giberélico, es fundamental tener en cuenta aspectos clave como el método de aplicación, la dosis y la sensibilidad de cada variedad. Además, cada especie vegetal tiene requerimientos específicos de crecimiento que pueden verse influenciados por la concentración de estas hormonas (Reyes et al., 2024).
CONCLUSIONES
Se concluye que la adición de ácido giberélico y tiempo de remojo resultan poco relevante sobre la germinación, por tanto, su uso resulta ser innecesario sobre las semillas de C. arabica. Por tanto, se reducen costos, se simplifica el procedimiento de germinación y se redirige la atención a otras posibles variables. Siendo recomendable, que otras investigaciones ahonden estudiar los factores ambientales como la temperatura y la humedad en diferentes intervalos, para promover y controlar una germinación uniforme.
AGRADECIMIENTOS
Al Laboratorio Biotecnología de la Universidad Nacional de Trujillo; por el apoyo logístico y de ambientes brindados, posibilitando de esta manera la realización de la presente investigación. A la VI Convocatoria CANON, por el financiamiento de esta investigación. En sus modalidades: PIC-MODALIDAD 01: “Valoración de la biodiversidad en el norte del Perú: Rol de las exploraciones biológicas y los herbarios" y PIC 02 MODALIDAD 02: “Proyecto de Investigación de Tesis, categoría consolidada Laboratorio de Biotecnología”, ganadores de la "VI Convocatoria de Proyectos de Ciencia y Tecnología en la Universidad Nacional de Trujillo con Fondos Públicos provenientes del Canon", según se detalla en la Resolución Rectoral N° 0356-2023/UNT, Resolución de Consejo Universitario N° 001-2023/UNT y Resolución Vicerrectoral de Investigación N°137-2023-VIN-UNT.
REFERENCIAS BIBLIOGRÁFICAS
Ali, F., Qanmber, G., Li, F., & Wang, Z. (2022). Updated role of ABA in seed maturation, dormancy, and germination. Journal of Advanced Research, 35, 199-214. https://doi.org/10.1016/j.jare.2021.03.011
Almerco, J. L., Arapa, E., & Quispe, B. A. (2021). Impacto de las Exportaciones de Café sobre el Crecimiento Económico del Perú 2013 – 2019. Revista De Análisis Y Difusión De Perspectivas Educativas Y Empresariales, 1(1), 62–77. https://doi.org/10.56216/radee012021jun.a06
Alvarado, L. (2019). Efecto del ácido giberélico en la germinación de semillas de tres genotipos nativos de arándano del género Vaccinium. (Tesis pregrado). Universidad Nacional Toribio Rodríguez de Mendoza de Amazonas.
Avezum, L., Rondet, E., Mestres, C., Achir, N., Madode, Y., Gibert, O.,
Lefevre, C., Hemery, Y., Verdeil, J., & Rajjou, L. (2023). Improving the nutritional quality of pulses via germination. Food Reviews International, 39(9), 6011-6044. https://doi.org/10.1080/87559129.2022.2063329
Bhadra, M., Mondal, S., Das, A., & Bandyopadhyay, A. (2024). El tratamiento con ácido giberélico mejora la germinación de las semillas y el establecimiento de las plántulas en Tinospora cordifolia (Willd.) Gancho. F. y Thoms. Journal of Applied Biology & Biotechnology, 12(4), 128-135. http://doi.org/10.7324/JABB. 2024.158607
Berilli, S., de Sales, R., Rodrigues, H., Falcão, A., Rodrigo, A., Berilli, A., Rodrigues, W., Freitas, Silvio, J., & Souza, T. (2020). Foliar fertilization in the propagation of conilon coffee in alternative substrates. International journal of agriculture and natural resources, 47(1), 58-68. https://dx.doi.org/10.7764/ijanr.v47i1.2085
Braga, R. A., Azevedo, R. L. D., Guimarães, R. M., & Reis, L. V. (2020). Magnetic field in coffee seed germination. Ciência e Agrotecnologia, 44, e003920. https://doi.org/10.1590/1413-7054202044003920
Brito, L. P., Araújo Lacerda, J. D., Araújo Soares, C., Monteiro Júnior, F. L. C., Souza, M. C., Aguiar Fonseca e Souza, Á. I. & Rodrigues, M. (2022). Biometry and pre-germinative treatments of seeds from an Amazon endemic species. Acta Agronómica, 71(1), 81-87. https://doi.org/10.15446/acag.v71n1.99249
Bertolin, D., Sá, M., Arf, O., Furlani, E., Colombo, A., & Carvalho, F. (2010). Increase of the productivity of the soybean crop with the application of biostimulantes. Fitotecnia, Bragantia 69(2), 339-347. https://doi.org/10.1590/S0006-87052010000200011
Carrasco, A. Y., Villegas, N. A., López, S., Mostacero, J., Soto, J., Gil, A., De La Cruz, A., & Gonzales, Y. (2025). Influencia del ácido giberélico en la germinación de Physalis peruviana “aguaymanto”. Manglar, 22(1), 61-66. https://doi.org/10.57188/ manglar.2025.007
Carrera, G., Calleja, J., Pernas, M., Gómez, L., & Oñate, L. (2020). An updated overview on the regulation of seed germination. Plants, 9(6), 703. https://doi.org/10.3390/plants9060703
Carvalho, M. H. D., Rosa, S. D. V. F. D., Coelho, S. V. B., Guimarães, C. C., Martins, R. D. S., Clemente, A. D. C. S., & Paiva, L. V. (2023). Drying of arabica coffee and its effect on the gene expression and activity of enzymes linked to seed physiological quality. Acta Scientiarum. Agronomy, 45, e56908. https://doi.org/10.4025/actasciagron.v45i1.56908
Caroca, R., Zapata, N., & Vargas, M. (2016). Temperature effect on the germination of four peanut genotypes (Arachis hypogaea L.). Chilean journal of agricultural & animal sciences, 32(2), 94-101. https://dx.doi.org/10.4067/S0719-38902016000200002
Chen, H., Ruan, J., Chu, P., Fu, W., Liang, Z., Li, Y., ... & Huang, S. (2020). AtPER1 enhances primary seed dormancy and reduces seed germination by suppressing the ABA catabolism and GA biosynthesis in Arabidopsis seeds. The Plant Journal, 101(2), 310-323. https://doi.org/10.1111/tpj.14542
Chenyin, P., Yu, W., Fenghou, S., & Yongbao, S. (2023). Review of the current research progress of seed germination inhibitors. Horticulturae, 9(4), 462. https://doi.org/10.3390/horticulturae9040462
Coffe, C., Pouthier, F., Barisien, C., Slimane, M., & Sheytanova, A. (2020). Therapeutic leukapheresis and thrombapheresis in medical emergencies. Transfusion and Apheresis Science, 59(6), 102997.
Díaz , A., Carrillo, A., & Suárez, C. (2023). Efecto de bioproductos sobre el desarrollo de posturas de café en vivero. Revista mexicana de ciencias agrícolas, 14(4), 495-505. https://doi.org/10.29312/remexca.v14i4.3303
Farooq, M. A., Ma, W., Shen, S., & Gu, A. (2022). Underlying biochemical and molecular mechanisms for seed germination. International Journal of Molecular Sciences, 23(15), 8502. https://doi.org/10.3390/ijms23158502
Franco da Rosa, S. D. V., Souza Pereira, W. V., Frota, G. J., dos Santos, H. O., Tirelli, G. V., & Reale, A. L. (2024). Priming of Coffea arabica seeds improves the germination quality and stimulates antioxidant system enzymes. Australian Journal of Crop Science, 18(1), 37-44.
Ferrás, Y., Bustamante, C., Díaz, M., & Sánchez, C. (2021). Efecto de lactofermentos en la germinación de semillas y desarrollo de posturas de Coffea arabica L. Revista Ingeniería Agrícola, 10, 31-35. https://doi.org/10.21704/ac.v82i2.1791
Fischer, G., Balaguera, H. E., & Magnitskiy, S. (2021). Review on the ecophysiology of important Andean fruits: Solanaceae. Revista UDCA Actualidad & Divulgación Científica, 24(1). https://doi.org/10.31910/rudca.v24.n1.2021.1701
Fischer, G., Balaguera, H., Luz, M. (2024). Capítulo 10 - Fisiología de cultivos de Physalis peruviana. Manual de Goldenberry (Physalis Peruviana). https://doi.org/10.1016/B978-0-443-15433-1.00010-8
Flechas, N. (2020). Fisiología del almacenamiento de semillas de café. Memorias Seminario Científico Cenicafé, 71(1), e71116. https://doi.org/10.38141/10795/71116
Flechas, N., & Medina, R. (2021). Efecto del almacenamiento en la viabilidad, germinación y vigor de semillas de Coffea arabica L. Revista Cenicafé, 72(2), e72206. https://doi.org/10.38141/10778/72206
Flesken, A., & Hartl, J. (2020). Ethnicity, inequality, and perceived electoral fairness. Social Science Research, 85, 102363. https://doi.org/10.1016/j.ssresearch.2019.102363
García, A. (2021). Efecto de la aplicación de microorganismos eficientes en la producción de plántulas de café (Coffea arábica L.) (Tesis pregrado). Universidad Nacional de Huancavelica.
Gordillo, A., Larramendi, L. A. R., Marina, M. Á. S., & de los Ángeles Rosales, (2021). M. Efecto del ácido salicílico sobre la germinación y crecimiento inicial del café (Coffea arabica L. var. Costa Rica 95). Revista De La Facultad De Agronomía De La Universidad Del Zulia, 38, 43-59. https://doi.org/10.47280/RevFacAgron(LUZ).v38.n1.03
Hartmann, T., & Kester, D. (1990). Propagación de plantas. Principios y prácticas. México: CECSA.
Hurtado, R., & Quintana, S. C. (2021). Impacto del cambio climático en la producción de café en el nor oriente Peruano. Revista Científica Dékamu Agropec, 2(2), 45-53. https://doi.org/10.55996/dekamuagropec.v2i2.59
Hernández, C., Perales, H., & Jaffee, D. (2020). Emociones, semillas nativas y cambio climático: el movimiento de soberanía de las semillas en Chiapas, México. Estudios de cultura maya, 56, 227-259. https://doi.org/10.19130/iifl.ecm.2020.56.2.0009
Huaylla, Y. (2024). Enraizamiento de micro estaca ortotrópica, plagiotrópica y ortotrópica bipartida de café (Coffea arábica L.) Var. Catimor en el distrito de Inkawasi provincia La Convención–Cusco. (Tesis pregrado). Universidad Nacional de San Antonio Abad del Cusco.
Homero, J. (2023). El método experiencial: su aplicación en el envejecimiento acelerado sobre la germinación de semillas. Revista Universidad y Sociedad, 15(2), 326-335.
Honorato, L., Arruda, A., Amorim, G., Fontanetti, M., Conceição, A. (2020). Influencia de la escarificación y el ácido giberélico en la dormancia y germinación de semillas de granada. Revista de Investigación Agraria y Ambiental, 12(2), 25- 37. https://doi.org/10.22490/21456453.3852
Jiménez, J. O., Dumont, J. R., Huamani, J. T., Pumapillo, J. E., & Ortiz, C. V. (2021). Producción, precios y dinámica de las exportaciones del café peruano. LLamkasun: Revista de Investigación Científica y Tecnológica, 2(4), 99-109.
Jose, S., & Sivaprasad, A. (2025). Influence of gibberellic acid (GA3) on in vitro seed germination of Dendrocalamus strictus (Roxb.) Nees: Exploring its effect under varied storage periods and micropropagation potential. Advances in Bamboo Science, 11, 100141. https://doi.org/10.1016/j.bamboo.2025.100141
Julca, A., Alarcón, G., Alvarado, L., Borjas, R., & Castro, V. (2018). Behavior of three cultivars of coffee (Catimor, Colombia and Costa rica 95) in the valley of el Perené, Junín, Perú. Chilean journal of agricultural & animal sciences, 34(3), 205-215.
Kamboj, A., Manjeetet, K., Veena, D., Parminder, K., Mamta, P., Diksha, S. (2024). Enhancing germination and growth in wild okra genotypes through gibberellic acid priming. Scientia Horticulturae, 334(1), 1-8. https://doi.org/10.1016/j.scienta.20 24.113332
Langa, S., Magwaza, L. S., Mditshwa, A., & Tesfay, S. Z. (2024). Seed dormancy and germination responses of Cannabis landraces to various pre-treatments. South African Journal of Botany, 165, 91-100. https://doi.org/10.1016/j.sajb.2023.12.021
Leal, I., Qui, J. A., Ávila, M. E., Andrade, I., & Montero, M. I. (2022). Germinación y desarrollo de plántulas de café en biorreactores. Revista Mexicana de Agroecosistemas, 9, 117-125.
Li, L., Yu, P., Li, Q., & Gu, M. (2022). Gibberellic acid and cold stratification improve sparkleberry (Vaccinium arboreum) germination under different collection times. Scientia Horticulturae, 291, 110606. https://doi.org/10.1016/j.scienta.2021.110606
López, Z. (2018). Efecto de concentración de ácido giberélico en la germinación y crecimiento de plántulas de Papaya (Carica papaya), bajo condiciones de vivero. (Tesis pregrado). Universidad Nacional de Piura.
López, S., Gil, A., (2017). Germination characteristics of seeds of Theobroma cacao L. (Malvaceae) "cacao". Arnaldoa, 24(2), 609 – 618. http://doi.org/10.22497/arnaldoa.242.24212
López, S., Araujo, C., Mostacero, J., Vera, L., Gil, A., De la Cruz, A., & Gonzales, C. (2024). Características germinativas de Selenicereus guatemalensis eich “pitahaya” var. american beauty. (2024). Revista De Investigación Científica Huamachuco, 2(1), 7-18. https://doi.org/10.61709/g6jmcp92
Madrid, H. E. (2021). Estudio de riesgos ergonómicos y condiciones de trabajo decentes en la agroexportación de café hondureño. Ergonomía, Investigación y Desarrollo, 3(3), 9-17. https://doi.org/10.29393/EID3-22ERHE1OO22
Matilla, A. J. (2025). Seed germination compromises expansion pressure, cell wall alterations, and the cuticular layer: New insights. Plant Science, 112612. https://doi.org/10.1016/j.plant sci.2025.112612
Morales , A., Rivas, A., Zapata, A., García, E., Ruesta, M., & Peña, R. (2023). Efecto de diferentes dosis de ácido giberélico en la germinación de papaya (Carica papaya L.) variedad criolla. Chilean journal of agricultural & animal sciences, 39(3), 392-400. https://dx.doi.org/10.29393/chjaa39-35edam60035
Niño, J., Moreno, D., Ruiz, H., Balaguera, H., & Magnitskiy, S. (2020). Light, gibberellins and burial depth affect seed germination of Amaranthus hybridus L. Revista U.D.C.A Actualidad & Divulgación Científica, 23(2), e1545. https://doi.org/10.31910/rudca.v23.n2.2020.1545
Oliveira, É. R., Carvalho, G. R., Santos, P. R., & Queiroz, F. (2020). Green coffee (Coffea arabica) and its residual biomass: characterization for the industrial approach. Current Nutrition & Food Science, 16(7), 1072-1087. https://doi.org/10.2174/1573401315666191008164900
Orantes, C., Ríos, N., & Verdugo, A. G. (2023). Germinación in vitro de semillas de Guaiacum sanctum L., especie de importancia comercial y medicinal. IBCIENCIAS, 6(2), 54-58.
Oscco, I., Roldan, E. P., Quispe, E., Camacho Villalobo, A., Marmolejo G., D., & Marmolejo, G. K. (2020). Selección, identificación y zonificación de café (Coffea arabica L.) por su adaptabilidad, rendimiento, calidad sensorial y resistencia a plagas y enfermedades. Agroindustrial Science, 10(3), 249-257. https://doi.org/10.17268/agroind.sci.2020.03.05
Paredes, L., Vélez, A. (2023). Evaluación del crecimiento de plantas de Cannabis (Cannabis sp.) obtenidas por germinación in vitro en dos medios de cultivo y tres concentraciones de ácido giberélico. (Tesis pregrado).
Pece, M. G., Gaillard de Benítez, C., Acosta, M., Bruno, C., Saavedra, S., & Buvenas, O. (2010). Germinación de Tipuana tipu (Benth.) O. Kuntze (tipa blanca) en condiciones de laboratorio. Quebracho, 18(1), 5–15.
Pérez, H., López., F., Juárez, A., Méndez, A., Sarabia, C. R., García-Mayagoitia, S., ... & Pérez-Moreno, A. Y. (2024). Implications of nanomaterials used in agriculture: a literature review of benefits and risks for the sustainability. Revista inter-disciplinaria en nanociencias y nanotecnología, 17(32), 1-50. https://doi.org/10.22201/ceiich.24485691e.2024.32.69720
Reed, R. C., Bradford, K. J., & Khanday, I. (2022). Seed germination and vigor: ensuring crop sustainability in a changing climate. Heredity, 128(6), 450-459. https://doi.org/10.1038/s41437-022-00497-2
Reyes, H., Quinteros, F., Mosquera, E., & Barrezueta, A. (2024). Un estudio bibliométrico de los principales reguladores de crecimiento: Citoquininas, Auxinas y Giberelinas en las plantas. Maestro y Sociedad, 21(4), 2202-2207.
Rivera, J. D., Ocampo-Serna, D. M., Martínez-Rubio, R. A., & Correa-Navarro, Y. M. (2022). Determination of gibberellic acid and abscisic acid in (Zea mays L.)(ICA-V305) seeds germinated using dynamic sonication assisted solvent extraction and maceration. MethodsX, 9, 101821. https://doi.org/10.1016/j.me x.2022.101821
Rocha, E., Salmazo, Y. N., Hayashi, M., Zaragoza, C. A., & Lucca Júnior, E. C. D. (2023). Late-stage functionalization of c—h bonds in organic synthesis. Química Nova, 46, 43-76. https://doi.org/10.21577/0100-4042.20170949
Salas, R., Gómez, D., Silva, J., Rojas, N., Oliva, M., Terrones, R., & Barrena, M. (2020). Land Suitability for Coffee (Coffea arabica) Growing in Amazonas, Peru: Integrated Use of AHP, GIS and RS. ISPRS International Journal of Geo-Information, 9(11), 673. https://doi.org/10.3390/ijgi9110673
Santás, V., Arias, M., Rodríguez, A., & Arenas, D. (2023). Use of metal nanoparticles in agriculture. A review on the effects on plant germination. Environmental Pollution, 334, 122222. https://doi.org/10.1016/j.envpol.2023.122222
Srivastava, A. K., Suresh Kumar, J., & Suprasanna, P. (2021). Seed ‘primeomics’: plants memorize their germination under stress. Biological Reviews, 96(5), 1723-1743. https://doi.org/10.1111/brv.12722
Soares, M. J., de Souza Figueira, M., Sampaio, G. R., Soares-Freitas, R. A. M., da Costa Pinaffi-Langley, A. C., & da Silva Torres, E. A. F. (2022). Coffee simulated inhibition of pancreatic lipase and antioxidant activities: Effect of milk and decaffeination. Food Research International, 160, 111730. https://doi.org/10.1016/j.f oodres.2022.111730
Suhendra, D., Efendi, S., Aisyah, S., & Saragih, S. H. (2021). Seed vigor testing of coffee [Coffea sp.] to gibberellin hormone [GA3] concentration and water temperature differences. Environmental Science, 741, 1-7. https://doi.org/10.1088/1755-1315/741/1/012004
Tucto, I. D. P., & Camones, L. E. H. (2021). Caracterización de un paquete tecnológico para el procesamiento de café verde peruano con características de cafés especiales para exportación. Anales Científicos, 82(1), 171-179).
Vargas, R., Vigo, C., Contreras, L., & Oliva, M. (2025). Development and optimization of in vitro shoot regeneration in Physalis peruviana using cotyledon explants. Journal of Genetic Engineering and Biotechnology, 23(100463), 1-9. https://doi.org/10.1016/j.jgeb.2025.100463
Valarezo, N. (2020). Evaluación del porcentaje de germinación de cinco cultivares de café (Coffea arabica L.) empleando cuatro tratamientos en vivero. (Tesis pregrado). Universidad Técnica de Machala.
Vidal, C. A., Julca, A., Castro, V., Alvarado, L., & Borjas, R. R. (2023). Atributos físicos y fisiológicos de las semillas de café (Coffea arabica). Siembra, 10(2), e4523. https://doi.org/10.29166/siembra.v10i2.4523
Villena, P., Alain, J., Jadán, O., Álvaro, A., Peña, D., & Palomeque, X. (2024). Evaluación de germinación y dormancia de semillas de tres especies forestales nativas andinas en Azuay-Ecuador. Bosque (Valdivia), 45(1), 177-186. https://dx.doi.org/10.4067/s0717-92002024000100177
Wu, Y., Deng, Z. Y., Wang, M. Z., Liu, L. Y., & Shen, Y. B. (2025). Effect of gibberellic acid treatment and cold stratification on breaking combined (physiological+ mechanical) dormancy and germination in Sassafras tzumu (Hemsl.) Hemsl seeds. Journal of Applied Research on Medicinal and Aromatic Plants, 44, 100606. https://doi.org/10.1016/j.jarmap.2024.100606
Wu, J., Zhang, N., Liu, Z., Liu, S., Liu, C., Lin, J., Yang., H., Li, S.,& Yukawa, Y. (2020). The AtGSTU7 gene influences glutathione-dependent seed germination under ABA and osmotic stress in Arabidopsis. Biochemical and Biophysical Research Communications, 528(3), 538-544. https://doi.org/10.1016/j.bb rc.2020.05.153
Zapata, L & Guevara, L. M. (2020). Evaluation of the incidence of foliar application of gibberellic acid in flowering trees of Coffea arabica L. and its impact on climate change.
Dyna, 87(215), 263.
Zhang, K., Khan, M.N., Luo, T., Hu, L., Luo, L. (2024). Seed Priming with Gibberellic Acid and Ethephon Improved Rice Germination under Drought Stress via Reducing Oxidative and Cellular Damage. Journal of Soil Science and Plant Nutrition , 24, 2679–2693. https://doi.org/10.1007/s42729-024-01691-3